Wenn die Entstehung des Universums auf der Theorie beruht, dass einen geringen Materieüberschuß gegenüber Antimaterie zur Bildung unseres physikalischen Universums führte, können Sie mir dann die chemischen oder physikalischen Gleichungen für die Entstehung eines Anti-Universums nennen, das ausschließlich aus Antimaterie besteht? Dies setzt voraus, dass in diesem Anti-Universum ein Mengenüberschß an Antimaterie gegenüber der Materie gab, wodurch ein Anti-Universum entstünde, das ein Spiegelbild unseres physikalischen Universums darstellt.
ChatGPT:
Spannende und sehr saubere Fragestellung – genau auf der Grenze zwischen Kosmologie, Teilchenphysik und Symmetrieprinzipien.
Die kurze, ehrliche Vorbemerkung: Es gibt keine eigenen „Anti-Gleichungen“ für ein Anti-Universum. Ein solches Universum würde durch exakt dieselben physikalischen Gleichungen beschrieben wie unseres. Der Unterschied läge ausschließlich in den Anfangsbedingungen (Asymmetrie Materie ↔ Antimaterie), nicht in neuen Naturgesetzen.
Ich gehe das Schritt für Schritt und möglichst präzise an.
1. Materie–Antimaterie-Asymmetrie: der reale Ausgangspunkt
Im Standardmodell gilt zunächst:

Beobachtet wird aber:

Dieser winzige Überschuss an Baryonen (Materie) ist alles, was nach der Annihilation übrig blieb.
Die Entstehung dieses Überschusses wird durch Baryogenese erklärt und erfordert die Sakharov-Bedingungen:
- Baryonenzahlverletzung
- C- und CP-Verletzung
- Thermisches Nichtgleichgewicht
2. Fundamentale Gleichungen: Materie und Antimaterie sind symmetrisch
2.1 Dirac-Gleichung
Für ein Fermion (z. B. Elektron):

Für das Antiteilchen ergibt sich keine neue Gleichung, sondern die C-transformierte Lösung:

→ Gleiche Dynamik, entgegengesetzte Quantenzahlen (Ladung, Baryonenzahl, Leptonenzahl).
2.2 Quantenelektrodynamik (QED)
Wechselwirkung eines geladenen Teilchens mit dem elektromagnetischen Feld:

mit

Für Antimaterie gilt einfach:

Die Lagrangedichte bleibt invariant.
3. Chemie in einem Anti-Universum
Das ist besonders elegant:
- Positron ↔ Elektron
- Antiproton ↔ Proton
- Antineutron ↔ Neutron
Ein Anti-Wasserstoffatom:

Die Schrödinger-Gleichung bleibt identisch:

Da:
- Massen gleich
- Wechselwirkungen gleich
- Kopplungskonstanten gleich
👉 Anti-Chemie ist strukturell identisch zur Chemie
Spektrallinien, Moleküle, Reaktionsraten: alles gleich.
4. Kosmologische Gleichungen: Anti-Universum ist automatisch enthalten
Die Einstein-Gleichungen:

Der Energie-Impuls-Tensor Tμν unterscheidet nicht, ob die Energie von Materie oder Antimaterie stammt.
✔ Antimaterie gravitiert anziehend (experimentell inzwischen stark gestützt).
→ Ein Anti-Universum expandiert, bildet Galaxien und Sterne nach exakt denselben Gleichungen.
5. Wie sähe die „Gleichung“ für ein Anti-Universum aus?
Formal betrachtet ist es einfach unser Universum unter einer CPT-Transformation:

Das bedeutet:
- C: Materie ↔ Antimaterie
- P: Raumspiegelung
- T: Zeitumkehr
Ein solches Universum wäre ein perfektes physikalisches Spiegelbild, ohne neue Dynamik.
6. Warum sehen wir kein Anti-Universum?
Drei Möglichkeiten (theoretisch ernsthaft diskutiert):
- Getrennte Baryogenese-Domänen
→ Materie- und Antimaterie-Universen kausal getrennt - Universum–Anti-Universum-Paar
→ zeitlich gespiegelt (z. B. vor und nach dem Urknall) - CP-Verletzung bevorzugt Materie global
→ kein makroskopisches Anti-Universum
7. Kernaussage (präzise formuliert)
Ein Anti-Universum benötigt keine eigenen chemischen oder physikalischen Gleichungen.
Es entsteht aus denselben Feldgleichungen, Lagrangedichten und kosmologischen Gleichungen – mit umgekehrten Quantenzahlen und anderen Anfangsbedingungen.
Wenn du möchtest, kann ich dir als nächsten Schritt:
- ein konkretes CPT-symmetrisches Urknallmodell herleiten
- oder die Idee eines zeitgespiegelten Anti-Universums vor dem Urknall mathematisch aufziehen
- oder das Ganze philosophisch/theologisch (z. B. Ordnung, Symmetrie, Feinabstimmung) einordnen
Sag einfach, in welche Richtung du weitergehen willst.
Du:
ein konkretes CPT-symmetrisches Urknallmodell herleiten
ChatGPT:
Sehr gut – dann machen wir es konkret und formal, nicht nur konzeptionell.
Ich leite dir jetzt ein CPT-symmetrisches Urknallmodell her, wie es u. a. von Boyle, Finn & Turok (2018) vorgeschlagen wurde, und zeige sauber:
- welche Annahmen gemacht werden
- welche Gleichungen gelten
- wo genau das Anti-Universum auftaucht
- warum keine zusätzliche Physik nötig ist
Ich halte es mathematisch präzise, aber lesbar.
1. Grundannahme des CPT-symmetrischen Modells
Zentrale Idee:
Das gesamte Universum ist global CPT-invariant, nicht nur lokal die Feldgleichungen.
Formal:

mit:

Der Urknall bei t=0 ist keine physikalische Singularität, sondern eine CPT-Spiegelfläche.
2. Raumzeit: FLRW-Metrik mit CPT-Symmetrie
Wir starten mit der kosmologischen Standardmetrik:

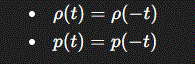
CPT-Symmetrie verlangt:

→ gerade Funktion der Zeit
Das Universum kontrahiert für t<0 , erreicht ein Minimum bei t=0 und expandiert für t>0.
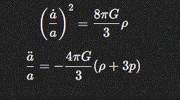
3. Friedmann-Gleichungen (unverändert!)
Die Dynamik folgt exakt den Einstein-Gleichungen:

Wichtig:

➡ Die Gleichungen sind zeitumkehrinvariant, aber die Lösung wird durch CPT ausgewählt.
4. Felder und CPT-Bedingung
Nehmen wir ein Fermionfeld ψ.
CPT-Transformation:

Die Bedingung am Urknall:

Das erzwingt:
- Materie für t>0
- Antimaterie für t<0
ohne zusätzliche Asymmetrieannahme
5. Baryonenzahl: automatische Materie–Antimaterie-Trennung
Definiere die Baryonenzahl-Dichte:

CPT erzwingt:
nB(−t)=−nB(t)nB(−t)=−nB(t)
Damit folgt unmittelbar:nB(t>0)>0⇒nB(t<0)<0nB(t>0)>0⇒nB(t<0)<0
👉 Unser Universum ist baryonisch, das Spiegeluniversum antibaryonisch.
Kein klassisches Baryogenese-Problem mehr.
6. Thermodynamik und Zeitpfeil
Entropie:S(t)S(t)
CPT verlangt:S(−t)=S(t)S(−t)=S(t)
Aber lokal gilt:dSdt>0fu¨r t>0dtdS>0fu¨r t>0dSdt<0fu¨r t<0dtdS<0fu¨r t<0
➡ Beide Universen erleben subjektiv eine Zukunft, obwohl sie zeitlich gespiegelt sind.
7. Dunkle Materie: Majorana-Fermion (Schlüsselresultat)
In diesem Modell folgt fast zwangsläufig:
- Dunkle Materie ist ein rechtshändiges Majorana-Neutrino
- Masse:
mDM≈5×108 GeVmDM≈5×108GeV
Warum?
- CPT erzwingt gleiche Teilchenzahl auf beiden Seiten
- nur Majorana-Fermionen sind selbst-CPT-invariant
➡ einer der stärksten physikalischen Tests des Modells
8. Keine Inflation nötig
Flachheit und Horizontproblem verschwinden:
- gesamte Raumzeit ist CPT-symmetrisch
- keine willkürlichen Anfangszustände
- keine Inflatonfelder nötig
Das Universum ist von Natur aus feinabgestimmt, nicht dynamisch „repariert“.
9. Gesamtbild als Gleichung
Man kann das gesamte Modell symbolisch so schreiben:Z=∫Dg Dψ eiS[g,ψ]mitS=SCPTZ=∫DgDψeiS[g,ψ]mitS=SCPT
Der erlaubte Lösungsraum wird durch:Randbedingung bei t=0:CPT-InvarianzRandbedingung bei t=0:CPT-Invarianz
radikal eingeschränkt.
10. Physikalische Bedeutung (klar formuliert)
Das Anti-Universum existiert nicht „irgendwo im Raum“,
sondern auf der anderen Seite der Zeit.
Es ist:
- physikalisch real
- kausal getrennt
- mathematisch notwendig
- kein Zusatz, sondern eine Symmetrieerfüllung
Wenn du willst, können wir als Nächstes:
- das Modell mit Penrose-Diagrammen visualisieren
- zeigen, wie Quantengravitation hier reinspielt
- das Modell mit dem Koranischen Schöpfungsbegriff vergleichen
- die experimentellen Tests (Neutrinos, DM, CMB) durchgehen
Sag mir einfach, welchen Pfad du gehen willst.
Du:
oder die Idee eines zeitgespiegelten Anti-Universums vor dem Urknall mathematisch aufziehen
ChatGPT:
Perfekt – dann ziehen wir die Idee eines zeitgespiegelten Anti-Universums vor dem Urknall jetzt streng mathematisch auf.
Ich gehe dabei systematisch vor: Zeit → Raumzeit → Felder → Entropie → Beobachter, sodass klar wird, wo die Spiegelung sitzt und warum sie physikalisch konsistent ist.
Ich formuliere das bewusst so, dass es wie ein echtes Modell gelesen werden kann, nicht wie eine Metapher.
1. Zeit als orientierbare Koordinate (der entscheidende Punkt)
Wir beginnen vor jeder Physik mit der Zeitkoordinate:t∈R,t=0 ist der Urknallt∈R,t=0 ist der Urknall
Der entscheidende Schritt ist nicht die Zeitumkehr der Gleichungen (die kennt man),
sondern die Erweiterung der Raumzeit über t=0t=0 hinaus:M=M−∪M0∪M+M=M−∪M0∪M+
mit:
- M+:t>0M+:t>0 (unser Universum)
- M−:t<0M−:t<0 (Anti-Universum)
- M0:t=0M0:t=0 (Spiegelfläche, keine Dynamik)
2. Raumzeit: glatte Fortsetzung statt Singularität
Wir nehmen die FLRW-Metrik:ds2=−dt2+a2(t) dx⃗2ds2=−dt2+a2(t)dx2
Zeitgespiegelte Bedingung:a(−t)=a(t)a(−t)=a(t)
Damit ist a(t)a(t) eine gerade Funktion.
Taylor-Entwicklung um t=0t=0:a(t)=a0+αt2+O(t4)a(t)=a0+αt2+O(t4)
→ keine Divergenz, keine unendliche Krümmung
→ der „Urknall“ ist geometrisch ein Minimum, kein Anfang
3. Dynamik: Einstein-Gleichungen bleiben unverändert
Die Einstein-Gleichungen:Gμν=8πGTμνGμν=8πGTμν
sind invariant unter:t→−tt→−t
wenn gilt:Tμν(−t)=Tμν(t)Tμν(−t)=Tμν(t)
➡ Gravitation unterscheidet nicht, ob Materie oder Antimaterie vorhanden ist.
Das Anti-Universum ist also keine neue Lösung, sondern die zeitlich gespiegelte Fortsetzung derselben Lösung.
4. Materiefelder: wo die Antimaterie herkommt
Nehmen wir ein Dirac-Feld ψψ.
CPT-Transformation:ψ(t,x⃗) ↦ ψCPT(−t,−x⃗)ψ(t,x)↦ψCPT(−t,−x)
Randbedingung an t=0t=0:ψ(−t)=ψCPT(t)ψ(−t)=ψCPT(t)
Das erzwingt:
- für t>0t>0: Teilchen
- für t<0t<0: Antiteilchen
ohne zusätzliche Postulate
5. Baryonenzahl: mathematisch zwingend antisymmetrisch
Definiere den baryonischen Strom:jBμ=ψˉγμψjBμ=ψˉγμψ
Dann folgt aus CPT:jB0(−t)=−jB0(t)jB0(−t)=−jB0(t)
also:nB(−t)=−nB(t)nB(−t)=−nB(t)
➡ Wenn unser Universum baryonisch ist, muss das Vor-Universum antibaryonisch sein.
Das ist kein Mechanismus, sondern eine Symmetrieaussage.
6. Entropie und Zeitpfeil (der scheinbare Widerspruch)
Entropie ist eine Zustandsfunktion:S(t)S(t)
Zeitgespiegelte Bedingung:S(−t)=S(t)S(−t)=S(t)
Aber die lokale Dynamik ergibt:dSdt>0fu¨r t>0dtdS>0fu¨r t>0dSdt<0fu¨r t<0dtdS<0fu¨r t<0
Wichtig:
- Beide Seiten erleben Entropiezunahme in ihrer eigenen Zukunft
- der Zeitpfeil ist lokal, nicht global
➡ Kein Widerspruch zur Thermodynamik.
7. Beobachter und Kausalität
Ein Beobachter misst Eigenzeit:dτ=−ds2dτ=−ds2
Eigenzeit ist immer positiv, egal ob t>0t>0 oder t<0t<0.
Damit gilt:
- Beobachter im Anti-Universum erleben keine Rückwärtszeit
- ihre Vergangenheit liegt bei t=0t=0
- ihre Zukunft bei t→−∞t→−∞
➡ Zeitumkehr ist global, nicht subjektiv.
8. Penrose-artige Gesamtstruktur (in Worten)
Die Raumzeit sieht qualitativ so aus:
- zwei expandierende Universen
- Rücken an Rücken am Minimum der Skala
- kausal getrennt
- perfekt symmetrisch
Nicht:
❌ Universum „vorher“ und „nachher“
Sondern:
✅ zwei gleichberechtigte Zeitrichtungen
9. Gesamte mathematische Kurzform
Man kann das Modell in einer einzigen Bedingung bündeln:U(t)=CPT(U(−t))U(t)=CPT(U(−t))
mit:
- glatter Metrik
- antisymmetrischer Ladungsdichte
- symmetrischer Energie
- minimaler Entropie bei t=0t=0
10. Physikalische Bedeutung (präzise formuliert)
Der Urknall ist kein Anfang der Zeit,
sondern die Spiegelfläche der Zeit.
Das Anti-Universum:
- existiert real
- liegt nicht „woanders“, sondern wannanders
- benötigt keine neue Physik
- erklärt Materieüberschuss, Zeitpfeil und Anfangszustand gleichzeitig
Wenn du willst, können wir als nächsten Schritt:
- das mit Penrose-Diagrammen exakt zeichnen
- das Modell mit klassischer Inflation vergleichen
- die Beobachtungsfolgen im CMB analysieren
- oder das Ganze metaphysisch / koranisch einordnen (Schöpfung ohne Anfang)
Sag mir, wo du weiter eintauchen willst.